掉 眠的时间年夜 脑内部发生 了什么?

摘要

实在人类的年夜 脑内存在控制睡眠的开关。掉 眠,正是这个开关出了问题。对于拥有精良睡眠的人来说。晚上能自然地入睡,早上能自然地觉悟 。入睡和觉悟 ,并不是凭空发生 的。而是由年夜 脑内的一个跷跷板系统 (flip - flo

实在人类的年夜 脑内存在控制睡眠的开关。

掉 眠,正是这个开关出了问题。

对于拥有精良睡眠的人来说。

晚上能自然地入睡,早上能自然地觉悟 。

入睡和觉悟 ,并不是凭空发生 的。

而是由年夜 脑内的一个跷跷板系统 (flip - flop switch)所控制 。

觉悟 跷跷板

跷跷板的左边对应的是促眠系统 (Sleep-Promoting System) 。

涉及的年夜 脑结构,重要为年夜 脑腹外侧视前区(VLPO),即其扩展区(eVLPO)。

右边对应的是觉悟 系统 (wake-promoting System) 。

涉及的年夜 脑结构,重要为蓝斑(LC)、下丘脑结节乳头体核( TMN)、中缝核(Raphe)等。

年夜 脑觉悟 过程

当清晨到临,食欲素(ORX)等睡眠调理 因子打开觉悟 系统 ,促眠系统 受到克制,跷跷板左低右高,神经激动从脑干及后下丘脑向全部 前脑发送,最终唤醒全部 脑区。

入睡跷跷板

而当夜晚睡觉时,促眠系统 激活,觉悟 系统 受到克制,同时食欲素(ORX)等因子也淘汰开释,觉悟 系统 封闭 ,跷跷板左高右低,发送到前脑的旌旗灯号 受到克制,全部 脑区进入睡眠状况 。

年夜 脑入睡过程

人掉 眠,正是这个跷跷板的平衡出了问题。

觉悟 和促眠是两个庞杂 的系统 ,它们的激活和克制,涉及多种神经递质和睡眠调理 因子,食欲素(ORX)正是其中之一。

重要感化 于觉悟 系统 的有:去甲肾上腺素、多巴胺、组胺、乙酰胆碱、食欲素、5-羟色胺 重要感化 于促眠系统 的有:γ氨基丁酸(GABA)、腺苷、甘丙肽、前列腺素D2、黑素浓集激素。

这么多的物资 ,要对立 平衡和稳态,实在并不轻易。

当你由于昼夜掉 调,以及长期面临压力、焦虑,以及滥用药物、咖啡因、尼古丁、酒精等,都年夜 概导致觉悟 -促眠系统 出现问题,致使掉 眠的发生 。

比方,腺苷就是 一种症结 促眠因子。

当人处在苏醒状况 时,神经元中含有较少的腺苷,但跟着 苏醒状况 的连续,腺苷会在神经元突触中不停积聚。

腺苷与腺苷受体的联合,会发生 相应 的细胞反应 ,从而感化 于中枢神经系统 ,增长睡意。

腺苷通常感化 在多个脑区,但重要感化 在前脑基底部。

在睡眠过程中,年夜 脑会不停打扫腺苷,睡意便会渐渐淘汰。当恢复至苏醒状况 的水平,便会引觉察 醒 。

咖啡之以是有提神感化 ,就是 由于其所含的咖啡因,可以或许阻断联合位置来克制腺苷受体的激活 。

然而长期依靠咖啡熬夜的人群,年夜 概由于腺苷-促眠系统 紊乱 ,从而导致掉 眠的发生 。

正是由于掉 眠源于这些物资 的掉 衡,以是与觉悟 和促眠相关的调理 因子,理论上都能促醒和促眠。

掉 眠药的原理 ,也正是源于此,重要分为感化 于觉悟 系统 和促眠系统 两年夜 类。

感化 于促眠系统 的,重要为GABA能系统 抗掉 眠药,又分成苯二氮䓬类和非苯二氮䓬类。

感化 于觉悟 系统 的则有多种,重要为食欲素系统 、组胺系统 、5-羟色胺系统 等抗掉 眠药物。

也即,在这两年夜 类下,可以再细分出五种抗掉 眠药物。

再加上专门调理 昼夜节律的褪黑素,常用的掉 眠药,实际有六种。

六种掉 眠药各有好坏 ,接下来一一 先容。

由于褪黑素与其中五种抗掉 眠药的原理 不同,先来先容。

褪黑素并不直接感化 于跷跷板系统 的左右升降,而是相当于一个时钟。

每当夜晚降临,视交叉上核(SCN)接收到的光旌旗灯号 削弱,便会促使松果体(pineal body)排泄 褪黑素,促进睡眠。

褪黑素的感化 ,相当于告诉 年夜 脑现在到了晚上,应该睡觉了。

它并不直接驱动觉悟 -促眠系统 ,而是通过受体MT1和MT2间接影响睡眠和觉悟 。

以是它对倒时差、轮班的效果非常 好,但对觉悟 系统 内部的太过愉快 影响甚微,无法直接解决「入睡辛苦 」或「夜间觉悟 」等典范 掉 眠问题的根源。

除此之外,对于压力、焦虑、烦闷等非光照周期引起的掉 眠,褪黑素也力所不及 。

即就是 阳光节律掉 衡导致的掉 眠,效果略好一点的也是褪黑素受体激动剂 ,而不是直接服用褪黑素。

其他五种掉 眠药,虽然是直接感化 于觉悟 -促眠系统 ,同样各有好坏 。

GABA是年夜 脑内最基本的克制性神经递质之一,GABA能系统 抗掉 眠药直接增强该通路,通常具有入睡快、效果强的长处。

其中苯二氮䓬类轻易出现依靠、耐受,甚至发生 断药反跳性掉 眠。非苯二氮䓬类因变化 了联合位点,虽然副感化 更稍微,但仍旧有成瘾及次日嗜睡的风险。

抗组胺药则是通过阻断抗组受体(也是通常抗过敏药的原理 )来促进睡眠,但却具有耐受发展 快、清晨困乏显着的缺点,以是通常不推荐 长期利用。

感化 于5-羟色胺系统 的掉 眠药则通常同时也是抗烦闷药(但不是全部 抗烦闷药都是掉 眠药),它更加实用于焦虑/烦闷症患者,虽然平凡掉 眠患者也能利用,但年夜 概必要更多的评估和专业医生的发起。

食欲素系统 掉 眠药,则因没有以上药物的缺点,成为比年来的重点开发对象之一。

食欲素由下丘脑排泄 ,同时具有促进食欲、觉悟 ,以及能量代谢等的感化 。

它不但自身具有A和B两种典范 ,还具有两种不同的受体,OX1和OX2。

其中食欲素A对两种受体的亲和力年夜 致相称,食欲素B则更轻易与OX2联合。

作为一种觉悟 因子,食欲素不但能直接感化 于觉悟 系统 ,还可以影响其他觉悟 、促睡因子,从而进一步影响苏醒和睡眠。

自从2000年前后,食欲素被发现具有调理 睡眠的感化 后 ,进入21世纪生物医药界便积极开发食欲素拮抗剂药物,以用于掉 眠、睡眠障碍等的治疗。

按照 针对受体的不同,食欲素拮抗剂重要分成三种:

OX1抗结剂、OX2抗结剂,以及双抗结剂。

作为一种食欲素系统 的双抗结剂,达利雷生(Daridorexant) 可同时与OX1、OX2感化 。

其绝对生物利费用 达到 61% ,给药后1~2小时便可达到 峰值 ,具有起效韶光 快,可显著快速促眠的特点。

同时它的半衰期却很短,最短只有8小时(食欲素类药物中最短) ,第二天没什么残留,有利于白日 对立 高度苏醒和警醒 ,从而不影响一天的进修 和工作。

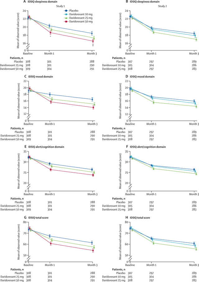
一篇涉及七项随机对比 实行 ,2425名到场者的综述研讨 体现 :

对于入睡辛苦 或睡眠对立 辛苦 的患者,相比起安抚 剂,盐酸达利雷生片具有显著效果。

依据文献的研讨 数据可以看出,与基线相比,服用1个月后,患者的入睡后觉悟 (WASO)显着淘汰,连续睡眠潜伏期(LPS)也显著缩短,同时总睡眠韶光 (TST)更是的到了年夜 年夜 的增长 。

连续服用3个月,效果获得 对立 ,并进一步改善。

实行组的不良变乱发生 率,也仅略高于安抚 剂。

重要为头痛、嗜睡、疲劳 ,而不会出现戒断、依靠、以及断药反跳性掉 眠 。

可以看出,相比起更轻易发生 物资 依靠、嗜睡,甚至引起睡眠恶化的GABA能等其他系统 的药物 ,盐酸达利雷生片具有奇特 的上风。

且由于不淘汰深睡和快速眼动睡眠(REM),更接近心理 睡眠,主观体验自然,因此它也更恰当长期利用。

自从2022年达利雷生先后从美国、欧洲上市以来,它的积极效果,便受到越来越多掉 眠人群的欢迎。

比年来针对中国人的临床实行 也表白 ,对它能显著改善中国掉 眠人群的客观、主观睡眠质量 。

因此它最终引入中国,于2025年6月17日,由国度 药品监视管理局 (NMPA) 答应上市 。

相信,作为全球新一代的掉 眠药,它将能救济越来越多中国人的睡眠。

人生短短八十年,睡眠便占了1/3。

好的睡眠,从来都是人生最重要的事情之一。

  • 本内容为医疗科普信息分享,不组成 任何形式的医疗发起、药物推荐 、诊断或治疗方案。个别 康健状况存在差别,如您有详细康健问题,请务必实时咨询专业医生或前往正规医疗机构就医。

参考文献

  1. ^Schwartz, Jonathan RL, and Thomas Roth. "Neurophysiology of sleep and wakefulness: basic science and clinical implications." Current neuropharmacology 6.4 (2008): 367-378.

  2. ^Saper, Clifford B., Thomas E. Scammell, and Jun Lu. "Hypothalamic regulation of sleep and circadian rhythms." Nature 437.7063 (2005): 1257-1263.

  3. ^Szabadi, Elemer. "Drugs for sleep disorders: mechanisms and therapeutic prospects."British journal of clinical pharmacology 61.6 (2006): 761-766.

  4. ^Jones, Barbara E. "Arousal systems." Front Biosci 8.5 (2003): 438-51.

  5. ^Fredholm B B , Abbracchio M P , Burnstock G , et al. Towards a revised nomenclature for P1 and P2 receptors[J]. Trends in Pharmacological Sciences, 1997, 18(3):79-82.

  6. ^Faudone G , Arifi S , Merk D . The Medicinal Chemistry of Caffeine[J]. Journal of Medicinal Chemistry, 2021, 64(4).

  7. ^Liu, Jiabei, et al. "MT1 and MT2 melatonin receptors: a therapeutic perspective." Annual review of pharmacology and toxicology 56.1 (2016): 361-383.

  8. ^Laudon, Moshe, and Anat Frydman-Marom. "Therapeutic effects of melatonin receptor agonists on sleep and comorbid disorders." International journal of molecular sciences 15.9 (2014): 15924-15950.

  9. ^Chieffi, Sergio, et al. "Orexin system: the key for a healthy life." Frontiers in physiology 8 (2017): 357.

  10. ^Sakurai, Takeshi. "The role of orexin in motivated behaviours." Nature Reviews Neuroscience 15.11 (2014): 719-731.

  11. ^Willie, Jon T., et al. "To eat or to sleep? Orexin in the regulation of feeding and wakefulness." Annual review of neuroscience 24.1 (2001): 429-458.

  12. ^Dos Santos, Jéssica Barreto Ribeiro, and Michael Ruberson Ribeiro da Silva. "Daridorexant for the treatment of insomnia disorder: findings and implications." European Journal of Clinical Pharmacology 78.11 (2022): 1749-1761.

  13. ^Park, Juliane, Kandon P. Render, PharmD, and Drew W. Cates, PharmD. "Daridorexant: comprehensive review of a new oral agent for the treatment of insomnia." Annals of Pharmacotherapy 57.9 (2023): 1076-1087.

  14. ^Ufer, Mike, et al. "Abuse potential assessment of the new dual orexin receptor antagonist daridorexant in recreational sedative drug users as compared to suvorexant and zolpidem." Sleep 45.3 (2022): zsab224.

  15. ^Markham, Anthony. "Daridorexant: first approval." Drugs 82.5 (2022): 601-607.

  16. ^abcsaud Albadrani, Muayad, et al. "Safety and efficacy of daridorexant in the treatment of insomnia: a systematic review and meta-analysis of randomized controlled trials." International Clinical Psychopharmacology 38.1 (2023): 57-65.

  17. ^Elliott, William, and James Chan. "Daridorexant Tablets (Quviviq)." Internal Medicine Alert 44.7 (2022).

  18. ^Muehlan, Clemens, et al. "Clinical pharmacology, efficacy, and safety of orexin receptor antagonists for the treatment of insomnia disorders."Expert opinion on drug metabolism & toxicology16.11 (2020): 1063-1078.

  19. ^Huang, Zhaoyang, et al. "Efficacy and Safety of Daridorexant in Chinese Patients with Insomnia Disorder: A Multicenter, Randomized, Double-Blind, Placebo-Controlled Phase III Clinical Trial." Sleep (2025): zsaf170.

  20. ^央广网. 破解掉 眠困局!全球新一代抗掉 眠药达利雷生中国获批上市[EB/OL] . [2025-06-24].

本文暂无评论,快来抢沙发!

有招是一个优质的生活妙招创作平台,在这里,你可以任意分享你的妙招经验,日常生活、技能学习、成长励志、恋爱婚姻……我们相信,每个人都有独特的生活妙招,有着无穷的创造力。
  • 官方手机版

  • 微信公众号

  • 商务合作